Una alerta sanitaria emitida por el Instituto Nacional de Vigilancia de Medicamentos y Alimentos (Invima) encendió las alarmas sobre el consumo de fórmulas de leche infantil de la marca ALULA, luego de identificarse un posible riesgo para la salud de bebés y niños pequeños.
De acuerdo con la información divulgada por la Secretaría de Salud de Casanare, la alerta está relacionada con los productos ALULA Gold Premium y ALULA Gold Comfort Premium, en los que se habría detectado que algunos lotes contienen un ingrediente —omega 6 (ARA)— contaminado con la toxina cereulida, sustancia que podría generar afectaciones en la salud infantil.
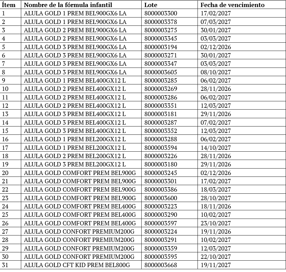
Como medida correctiva, 31 lotes de estas fórmulas infantiles serán retirados del mercado, en una contingencia que involucra presentaciones de 200, 400, 800 y 900 gramos. Las autoridades sanitarias recomendaron a padres, madres y cuidadores verificar cuidadosamente el número de lote antes de usar o suministrar estos productos.

Entre las recomendaciones emitidas se encuentra no adquirir ni consumir los lotes señalados, suspender de inmediato su uso en caso de haberlos comprado y reportar cualquier situación relacionada con estos productos ante la autoridad sanitaria competente.
La Secretaría de Salud de Casanare informó que la lista completa de los lotes afectados y sus presentaciones puede ser consultada en la Alerta Sanitaria No. 7-2026, emitida en enero de 2026 por el Invima, donde se detalla la información total de cada producto incluido en la alerta.
Las autoridades reiteraron el llamado a la comunidad a mantenerse informada a través de los canales oficiales y a priorizar la protección de la población infantil ante cualquier riesgo asociado al consumo de estos productos.

